
Scientific Achievement
Substituting a tiny amount (2.2%) of nonmagnetic Pd into tetragonal SrCo2As2, an otherwise nonmagnetic compound, induces long-range magnetic order. This surprising result arises from adding electrons into flat-band states.
Significance and Impact
Flat bands are localized electronic states in special lattice geometries. Electrons occupying flat bands experience amplified interactions that can drive electronic instabilities. The current findings provide compelling evidence for the critical role that flat bands play in the emergence of magnetism and their sensitivity to electron concentration.
Research Details
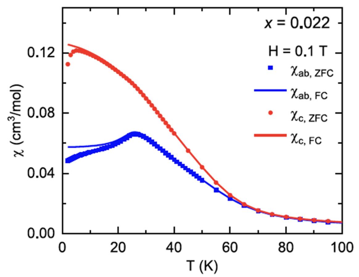
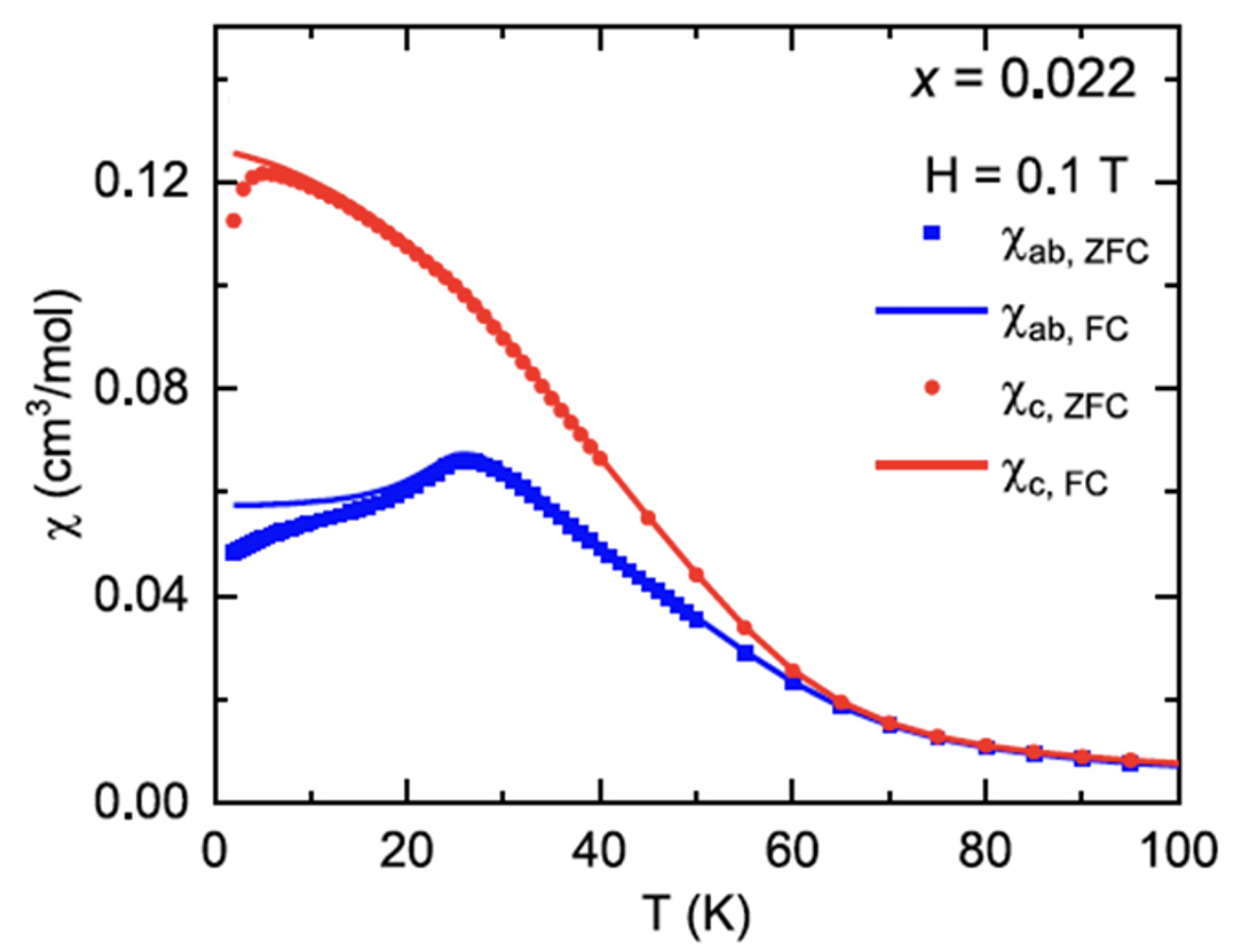
- Single crystals of various compositions x of SrCo2-xPdxAs2 were grown and the magnetic properties studied using magnetic susceptibility and neutron-diffraction measurements.
- The neutron-diffraction measurements reveal an antiferromagnetic helical magnetic order at small Pd substitutions as indicated in the figure, which evolves into a complex ferromagnetic state at higher Pd levels.
Pakhira, Santanu; Lee, Yongbin; Kundu, Asish; Islam, Farhan; Ning, Zhenhua; Smetana, Volodymyr; Mudring, Anja-Verena; Heitmann, Thomas; Vescovo, Elio; Ke, Liqin; Vaknin, David; and Johnston, David C. Proceedings of the National Academy of Sciences USA, 2025, 122, e2519523122. https://doi.org/10.1073/pnas.2519523122